当前位置:
首页
>
政务公开
>
文件库
>
公示公告
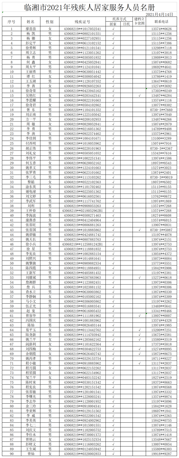
临湘市2021年残疾人居家服务(日间照料)人员名册
来源:临湘市残联
日期: 2021-04-20 11:25
浏览量:
1
|
|
|
|