临湘市人民政府 聂市镇
政府信息公开
政府信息公开指南
政府信息公开制度
法定主动公开内容
人事信息
征修《聂市镇志》启
惠农补贴
政策文件
规划计划
统计数据
通知公告
政府机构设置
依 申 请公 开
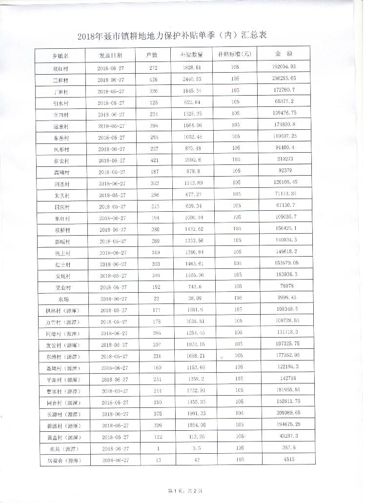
2018年聂市镇耕地地力保护补贴单季(内)汇总表
来源: 自发
发布时间: 2018-07-18 10:13
浏览次数:
1