当前位置:
首页
>
政务公开
>
资金信息
>
财政预决算
>
转移支付
>
科教文股
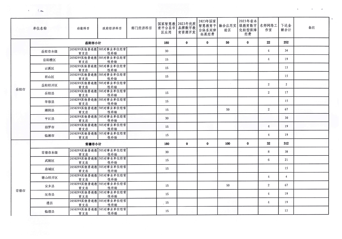
关于提前下达2023年第三批教育综合发展专项(教育信息化)资金的通知
来源:政府办
日期: 2023-01-24 15:52
浏览量:
1
|
|
|
|