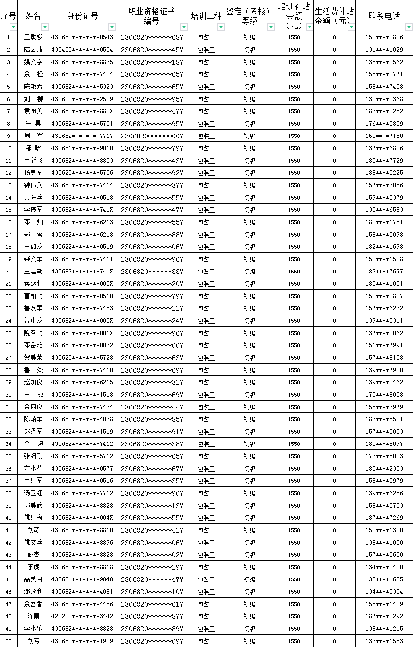
职业技能培训补贴人员名册(欣浩 、第一期包装工)
来源:市人社局   日期: 2023-08-29 11:20
浏览量:1 | | | |

  监督举报电话:0730-3722072                             培训起止时间:  2023年6月13日至2023年6月27日

  总计申请培训补贴人数: 50(人),总申请培训补贴资金:(大写) 柒万柒仟伍佰元整