当前位置:
首页
>
政府信息公开
>
重点领域信息公开
>
食品药品监管
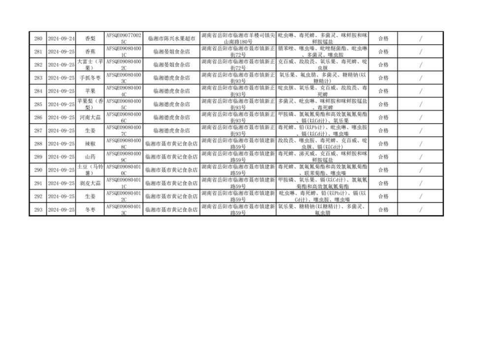
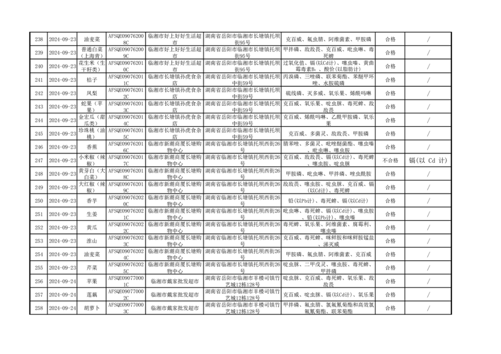
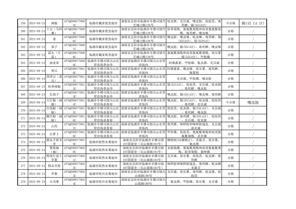
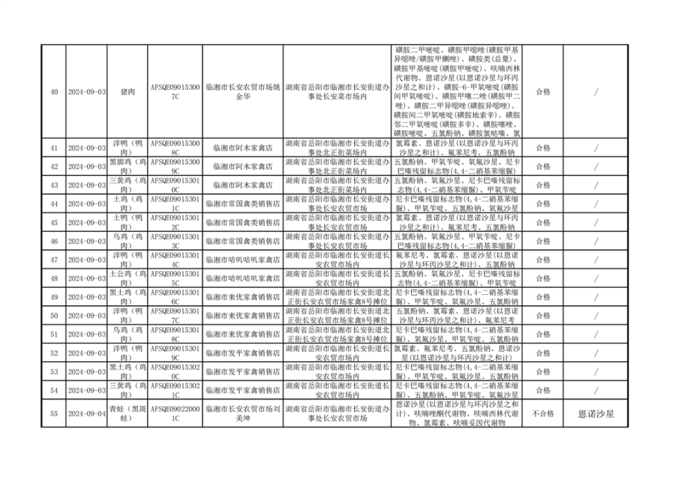
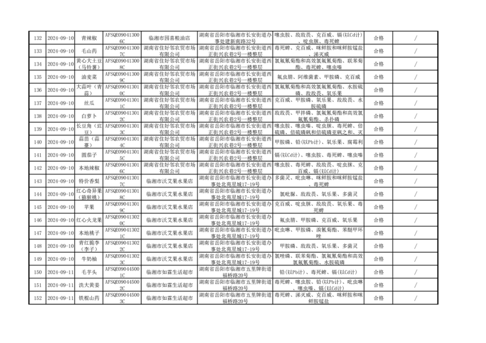
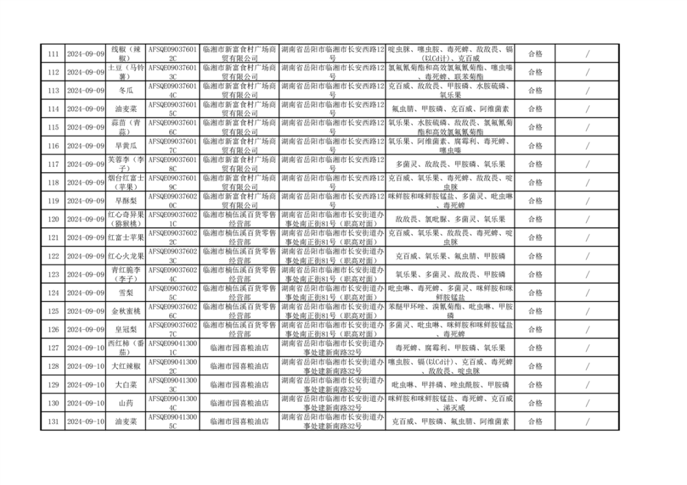
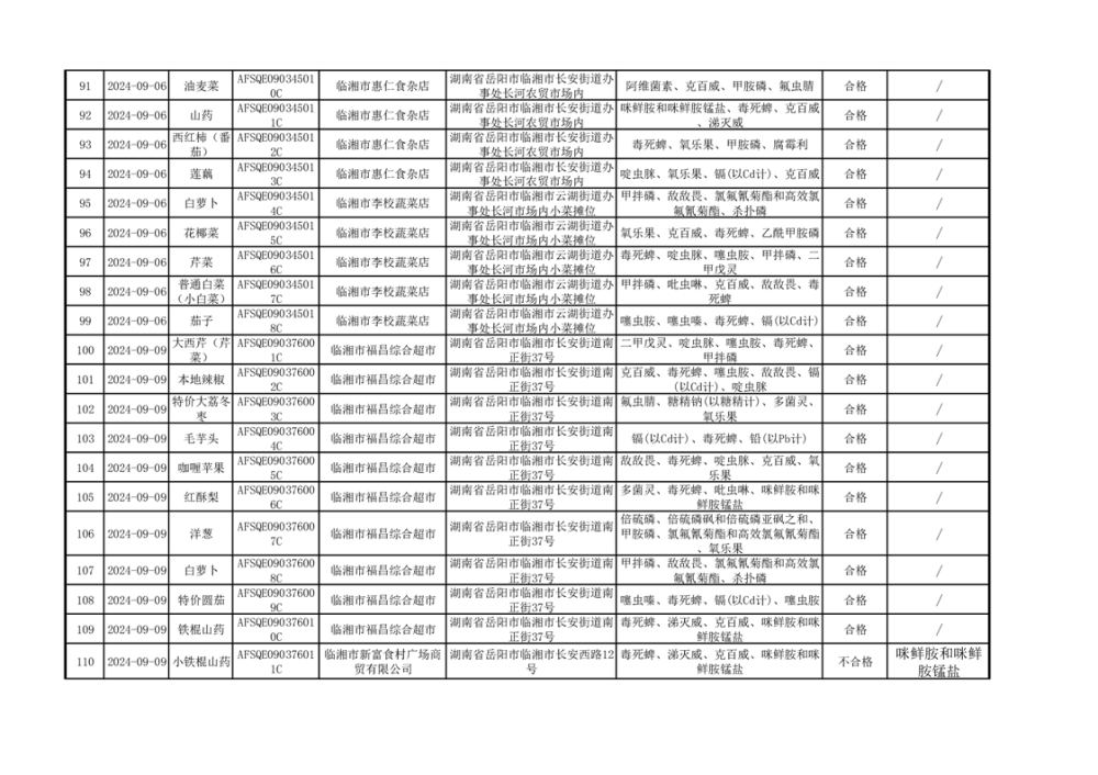
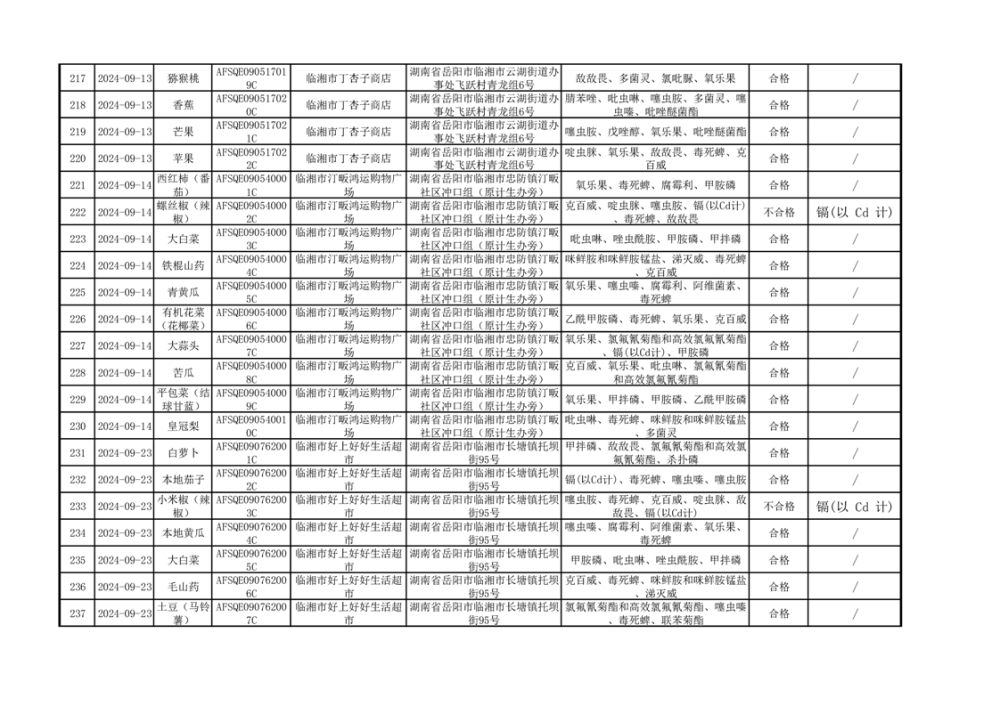
2024年临湘市市场监督管理局三季度农产品专项抽检信息公示
来源:临湘市市场监督管理局
日期: 2024-10-31 08:36
浏览量:
1
|
|
|
|